进口智能旋进旋涡流量计
产品型号:
产品描述:
智能旋进旋涡流量计是FEBOK INDUSTRIAL GROUP 美国费博克工业集团的新型气体流量仪表。该流量计集流量、温度、压力检测功能于一体,并能进行温度、压力、压缩因子自动补偿,是石油、化工、电力、冶金等行业用于气体计量的仪表。
产品特点:
立即咨询咨询热线:17750010617
智能旋进旋涡流量计
产品简介
/ product introduction1、产品概述
FEBOK INDUSTRIAL GROUP 美国费博克工业集团旋进旋涡流量计是集流量、温度、压力检测功能于一体,并能进行温度、压力、压缩因子自动补偿,是石油、化工、电力、冶金等行业用于气体计量的理想仪表。AL-LUX旋进旋涡流量计可广泛应用于石油、化工、电力、冶金、城市供气等行业测量各种气体流量,是目前油田和城市天然气输配计量和贸易计量的常用产品。
2、工作原理

流量计由以下七个基本部件组成如:

1.旋涡发生体
用铝合金制成,具有一定角度的螺旋叶片,它固定在壳体收缩段前部,强迫流体产生强烈的旋涡流。
2.壳体
本身带有法兰,并有一定形状的流体通道,根据不同的工作压力,壳体材料可采用铸铝合金或不锈钢。3.智能流量积算仪
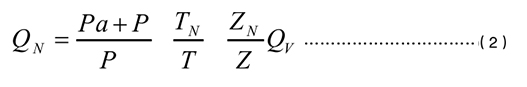
由温度、压力检测模拟通道,流量检测数字通道以及微处理单元,液晶驱动电路和其他辅助电路组成,并配有外输出信号接口,流量积算仪由温度赫压力检测模拟通道、流量传感通道,以及微处理单元组成并配有外输出信号接口,输出各种信号,流量计中微处理器按照气态方程进行温压补偿,并自动进行压缩因子修正,气态方程如下:

产品特点
/ product characteristic●采用汉字点阵显示屏,显示位数多,读数直观方便,可直接显示工作状态下的体积流量、标准状态下的体积流量、总量,以及介质压力、温度等参数;
●流量计集流量探头、微处理器、压力、温度传感器于一体, 采取内置式组合,使结构更加紧凑,可直接测量流体的流量、压力和温度,并自动实时跟踪补偿和压缩因子修正;
技术参数
/ technical parameters
产品选型
/ product selection























